[CS236] 5. Latent Variable Models-1
개요
- 이번 포스트에서는
CS236강의의 5강 내용을 정리한다.
Autoregressive구조는 장/단점을 지닌다. 장점은 likelihood를 평가하여maximum likelihood를 구할 수 있어 훈련이 비교적 쉽다.
- 반면, 단점은 순서대로 생성하여 생성 시간이 오래걸린다. 그리고
비지도 학습을 사용하여 데이터의 특징을 추출하는 것이 명확하지 않다. 이 점이잠재 변수 모델을 사용해서 해결할 수 있는 일 중 하나이다.
- 이번 챕터에서는 이
latent variable(잠재 변수)가 있을 때 생성 모델이 추론과 학습을 수행하는 방법에 대해서 설명할 것이다.
Latent Variable Model
위 그림과 같이 사람 이미지와 같은 이미지 데이터 안에는 단순히 픽셀 데이터가 아니라 그 안에 성별, 눈 색깔 등의 여러 변동성 큰 정보들이 포함되어 있다. 하지만 이 모든 정보들을 annotated 하여 이용하기 쉽지 않다. 그렇기 떄문에latent variable에 원본 데이터 상에 숨겨진 특징들이 존재하게 된다.
- 만약 특정한 특징을 나타내는
latent variable(z)을 사용하여 생성하게 되면, 우린 더욱 더 유연한 생성 모델을 얻을 수 있을 것 이다.
- 그래서 이
latent variable(z)을 반영하여 모델의 확률 분포 $p(x,z)$를 구하는Latent Variable Model에 대해서 알아볼 것이다.
- 왼쪽 그림은
Latent Variable Model을 간략하게 나타낸 구조이고 오른쪽 그림은 베이지안 네트워크일 때를 나타낸다.
- 우리는 $x$와 $z$의 결합 분포인 $p(x,z) = p(z)p(x|z)$ 를 구하게 될 것이고 이것이 베이지안 네트워크로 가면 $p(x,z) = p(z_1)p(x|z_1)+…+p(z_k)p(x|z_k)$ 가 될 것이다.
- 이렇게 잠재변수 z를 포함한 모델링을 사용하면 x만을 활용한 것보다 쉽다. 또한 만약 z의 특징을 각각 추출할 수 있다면, 그것을 이용해서 다른 종류의 task에도 이용이 가능하다. (ex)eyeColor = Blue만 식별 가능)
- 하지만 현실적으로 모든 z중에 특정 z만 따로 추출하는 것이 어렵다는 것이다.(이 말은 위에서 현실적으로 모든 z의 확률을 구할 수 없어서 베이지안 네트워크를 사용하기 어려울 수 있다는 말과 동일하다.)
- 따라서 우리는 이 문제를 해결하기 위하여 단순한 z(가우시안) 만을 가정하여
deep neural network(모든 각각의 관계의 정보를 따로따로 확인하지 않아도 모든 정보를 고려해줄 수 있다.) 를 사용하여 이 z를 예측하려고 한다.
- $z \sim \mathcal{N}(0,1)$
- $p(x|z) = \mathcal{N}(\mu_\theta(z), \Sigma_\theta(z))$
- 이 문제는 비지도학습의
representation learning이기 때문애 학습 시 z에 대해서 잘 학습(z의 특징을 잘 추출)되기를 희망하게 된다. (이 모델이 어떤 z를 추출할지 명확하지 않다.) - 만약 학습이 잘된다면, z의 분포를 클러스터링 하여 우리가 원하는 클러스터에 해당하는 z의 값($p(z)$)을 구할 수 있고 이 z를 가지고 새로운 데이터 $p_\theta(x,z)$를 만들어낼 수 있게 된다. 다음 챕터에서 이에 대해 더 자세히 설명할 것이다.
Mixture of Gaussians (GMM,VAE)
- 그렇다면 z를 어떻게 예측 하는 방법에 대해서 자세히 알아볼 필요가 있다. 데이터의 분포를 확인하면
위 그림과 같을 것이다. 그 후, $K$개의 가우시안 분포(혼합 성분)를 나눌 수 있다. 그럼생성 과정에선 K개 중 하나를 선택하여 그 K에 해당하는 평균, 공분산을 따르는 가우시안 분포에서 x를 샘플링한다. (이는VAE에서 생성 과정에서도 동일하다.)
- $\mathbf{z} \sim \text{Categorical}(1, \cdots, K)$
- $\mathbf{x} \sim p(\mathbf{x} \mid \mathbf{z} = k) = \mathcal{N}(\mu_k, \Sigma_k)$ (likelihood)
- 이 방법은
생성 과정뿐 아니라, x가 주어졌을 때 어떤 z에 속하는지 맞출 수 있는추론 과정에도 (posterior $p(z|x)$) 사용할 수 있다. (clustering,unsupervised representation learning)
- 또한
Mixture of Gaussians의 전체 확률 ($p(x)$)도 구할 수 있는데 다음과 같은 식으로 가능하다.
- $p(\mathbf{x}) = \sum_{z} p(\mathbf{x}, z) = \sum_{z} p(z) \cdot p(\mathbf{x} \mid z) = \sum_{k=1}^{K} p(z=k) \cdot \mathcal{N}(\mathbf{x}; \mu_k, \Sigma_k)$
- 이때 얻을 수 있는 직관은 simple한 $p(x|z)$를 활용하여 복잡한 혼합 모델($p(x)$)을 구할 수 있다는 것이다.
- 지금까진 z를 어떻게 예측을 할지에 대해서 알아보았다. 이
Mixture of Gaussians에서는Neural Network(NN)를 사용하지 않아 z의 수가 많아지면 계산하기 어려운 단점이 있다. 그럼 우린 이 z를 가지고deep neural network를 사용한VAE에서 어떻게 활용이 되는지 알아볼 필요가 있다.
Mixture of Gaussians에서는NN을 사용하지 않기 때문에임의의 k에 따른 평균과 표준편차를 조회 테이블에서 각각 구할 수 있다. 하지만VAE에선 유한한 수의 k개를 구하지 않아도 된다.
- 무한한 수의 혼합 성분(각각 가우시안을 가지는)이 있다고 생각 해도 된다.
- $\mathbf{z} \sim \mathcal{N}(1, I)$
- $p(x|z) = \mathcal{N}(\mu_\theta(\mathbf{z}), \Sigma_\theta(\mathbf{z}))$
- 또한 z를 샘플링 하고 z를
neural network에 넣어 가우시안 요소에 대한 평균, 표준편차를 구할 수 있다.
VAE의생성 과정은GMM과 동일하다. 구성 요소($K$)를 정하고 z값을 샘플링한다. 그 다음 z에 맞는 평균, 표준편차를 구한 다음(neural network를 통하여) x를 샘플링 하는 과정으로 진행된다.
Maximum Marginal Likelihood
- 만약 훈련 때
위 그림처럼 어떤 pixel이 보이지 않을 경우를 생각해보자. 이때 $\mathbf{X}$ 를 관측된 부분이라고 하고 $\mathbf{Z}$ 를 관측되지 않은 초록색 영역이라고 하자.
pixel cnn처럼autoregressive model은 안보이는 나머지 부분을 포함한전체 결합 확률 분포를 다음과 같이 정의할 수 있다. $p(\mathbf{X},\mathbf{Z};\theta)$
- 우리는 관측된 $\mathbf{X}$ 만을 사용하여 모든 가능한 $\mathbf{Z}$ 를 구해야한다. 그렇게 하기 위하여 우리는
marginal likelihhod를 구해야 한다.
- 모든 가능한 $\mathbf{Z}$ 를 고려해서 합산해야 한다.
- $p(\mathbf{x}) = \sum_{z} p(\mathbf{x}, z) = \sum_{z} p(z) \cdot p(\mathbf{x} \mid z)$
- 하지만 여기 z가 고차원이라면 이 것을 계산하는데 엄청난 비용이 들 수 있다.
- 만약
Variational Autoencoder의 경우라도 위와 비슷하다. 훈련 시간에 z가 관찰되지 않고 특정 x를 관찰할 확률을 평가하려면 z가 취할 수 있는 모든 가능한 값을 살펴보고 얼마나 x를 생성할 가능성이 있는지 알아봐야한다.
- z는 연속확률분포 이므로, 모든 가능한 z의 값들을 적분해야한다.
- $\mathbf{z} \sim \mathcal{N}(1, I)$
- $p(x|z) = \mathcal{N}(\mu_\theta(\mathbf{z}), \Sigma_\theta(\mathbf{z}))$
- $p(\mathbf{x}) = \int p(\mathbf{x}, z) , dz = \int p(z) \cdot p(\mathbf{x} \mid z) , dz$
VAE또한 z의 차원이 증가할수록 엄청난 비용이 든다.
- 따라서 우리는 훈련을 할 때 특정 데이터 셋을 생성할 확률 ($p(x)$)를 최대화 하는 매개변수를 찾으려고 할 것이다. 이때
autoregressive model처럼 x변수만 있는 것이 아니라, x와 z가 있기 때문에Maximum Marginal Likelihood로 계산해야한다.
$$\log \prod_{x \in \mathcal{D}} p(x; \theta) = \sum_{x \in \mathcal{D}} \log p(x; \theta) = \sum_{x \in \mathcal{D}} \log \sum_{z} p(x, z; \theta)$$
- 하지만 계속 한계점을 언급했던 것 처럼 $\log \sum_{z} p(x, z; \theta)$ 는 z의 차원이 커질수록 계산이 불가능 하다.
- 더불어, z가 연속형이어도 적분을 사용해야하기 때문에 계산하기 어렵고, gradient도 계산하기 어렵다.
- 그래서 아주 저렴한 approximation 방법이 필요하다.
Naive Monte Carlo
$$p_\theta(x) = \sum_{\text{All values of } z} p_\theta(x, z) = |\mathcal{Z}| \sum_{z \in \mathcal{Z}} \frac{1}{|\mathcal{Z}|} p_\theta(x, z) = |\mathcal{Z}| \mathbb{E_{z \sim \text{Uniform}}(\mathcal{Z})} \left[ p_\theta(x, z) \right]$$
$$\sum_{z} p_\theta(x, z) \approx |\mathcal{Z}| \cdot \frac{1}{k} \sum_{j=1}^{k} p_\theta(x, z^{(j)})$$
- 몇가지 가능한 대안 중 하나가
Naive Monte Carlo이다. 모든 z에 대한 계산을 하는 것이 아니라,monte carlo를 사용하여 몇개의 z만 가지고 근사값을 계산할 수 있다.
- 위에서 본
marginal likelihood의 식에서평균의 형태로 바꾸고, 그것을기대값으로 표현한 식(3)으로 변경하면monte carlo 샘플링으로 근사가 가능한 형태로 변형이 된다.
Monte carlo는 기대값을 샘플들의 평균으로 근사할 수 있게 한다.
- 하지만 단순하게 z에 대하여 uniform 샘플링을 하면 variance가 크고 모델이 불안정하다. 따라서 더욱 똑똑한 z 샘플링 방식이 필요하다.
- 또한 z, $p(x,z)$ 가 거의 0이라 의미있는 샘플을 못뽑는다.
Importance Sampling
$$p_\theta(x) = \sum_{z \in \mathcal{Z}} p_\theta(x, z) = \sum_{z \in \mathcal{Z}} \frac{q(z)}{q(z)} p_\theta(x, z) = \mathbb{E_{z \sim q(z)}} \left[ \frac{p_\theta(x, z)}{q(z)} \right]$$
- 위 한계를 극복하기 위해
Important Sampling방법을 도입한다. 위의 방법에서는 의미있는 z를 추출하지 못하므로 더욱 의미 있는 z를 더 자주 뽑는 분포 $q(z)$를 두는 방법을 사용한다.
- 참고로, 기대값의 정의는 다음과 같다.
- $\mathbb{E_{z \sim q(z)}} [f(z)] = \sum_{z \in \mathcal{Z}} q(z) \cdot f(z)$
$$p_\theta(x) \approx \frac{1}{k} \sum_{j=1}^{k} \frac{p_\theta(x, z^{(j)})}{q(z^{(j)})} \quad \text{where } z^{(j)} \sim q(z)$$
- 기대값의 식이 나왔기 때문에
monte carlo를 사용할 수 있게 된다. 이때 z가 uniform 분포에 따른 것이 아니라 q의 분포에 따라 샘플링이 된다.
- 그렇다면 좋은 q의 분포가 무엇일까? 라는 의문이 생길 수 있다. $p_\theta(x,z)$ 가 z들을 자주 뽑는 분포가 좋은 q의 분포이다.
$$\mathbb{E_{z^{(j)} \sim q(z)}} \left[ \frac{1}{k} \sum_{j=1}^{k} \frac{p_\theta(x, z^{(j)})}{q(z^{(j)})} \right] = p_\theta(x)$$
- 또한 이는
unbiased estimator이다.Unbiased estimator는 추정한 값의 평균이 진짜 참값을 정확히 맞춘다는 뜻이다. (정답에 수렴한다.)
Monte carlo실험을 아주 여러번 실행하면 결국 실제 값을 얻을 수 있게 된다.- 해당 개념에 대한 정확한 내용은 이 사이트를 참고하면 좋을 것 같다.
Evidence Lower Bound(ELBO) - 1
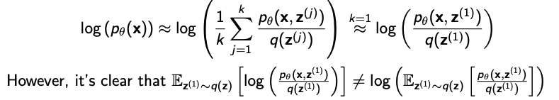
- 훈련 시, 우리가 관심이 있는 것은 데이터 포인트의
log-likelihood를 최적화 하는 것이다. 그래서 $p_\theta(x)$ 에 log를 씌우려고 봤더니Jensen Inequality때문에 로그 안에 샘플을 하나만 넣으면 편향이 생긴다. 위 그림의 2번째 줄의 수식들은Monte carlo식을 기대값으로 표현한 것이다.
23번 수식을 다시 보면, 각data point들에 대한marginal-log를 구하는 것을 확인할 수 있다.- 로그의 특성(로그는 오목(concave)함수다.)상 샘플 평균에 로그를 씌우면 값이 크게 나오고, 로그 후 샘플 평균을 취하면 작게 나온다.

- 위 그림은
Jensen Inequality를 설명한 것이다. 선형결합을 한 것이 log 함수 값보다 훨씬 낮다는 것을 알 수 있다.
이 성질을 활용하여 다시 위 사진의 수식에서 $f(\mathbf{z}) = \frac{p_\theta(\mathbf{x}, \mathbf{z})}{q(\mathbf{z})}$ 를 넣어보면 아래와 같은 식으로 정리를 할 수 있다.
$$\log \left( \mathbb{E_{\mathbf{z} \sim q(\mathbf{z})}} \left[ \frac{p_\theta(\mathbf{x}, \mathbf{z})}{q(\mathbf{z})} \right] \right) \geq \mathbb{E_{\mathbf{z} \sim q(\mathbf{z})}} \left[ \log \left( \frac{p_\theta(\mathbf{x}, \mathbf{z})}{q(\mathbf{z})} \right) \right]$$
- 오른쪽 항을 이렇게 되면 우리가 원하는 객체에 대한 하한이 생긴다. 이를
Evidence Lower Bound(ELBO)라고 부른다.
- 오른쪽을 최적화 하면, 왼쪽도 희망적으로 증가할 것을 의미한다.
- x가 evidence, x는 관찰된 부분이라는 뜻이다.
- 왼쪽을 최적화를 하진 못한다. 왜냐하면 왼쪽 항은 기대값을 먼저 계산 후, 그 결과에 로그를 취하는 형태이다. 하지만 기대값은 결국
28번 수식과 같이 통으로 $p_\theta(x)$ 로 나타낼 수 있기 때문에 결국 계산이 불가능하다는 것을 알 수 있다.
- 하지만
ELBO는 로그를 계산 후, 그 결과에 기대값을 취하는 형태이다. 따라서 이건 샘플링 기반으로 근사가 가능하다.
위 그림처럼monte carlo를 사용할 수 있다.- 그 후 $z^{(j)} \sim q(z)$ 여러개 샘플링하여 각각에 대해 log 값을 계산하고, 그것을 평균내면 된다.
- 따라서
ELBO를 활용하여 식을 전개하면 아래와 같다. 등호는 $q = p(z \mid x; \theta)$ 일때만 성립한다. 이에 대한 자세한 내용은 다음 강의에서 이어서 하겠다.
$$ \begin{aligned} \log p(x; \theta) &\geq \sum_{z} q(z) \log \left( \frac{p_\theta(x, z)}{q(z)} \right) \\ &= \sum_{z} q(z) \log p_\theta(x, z) - \sum_{z} q(z) \log q(z) \\ &= \sum_{z} q(z) \log p_\theta(x, z) + H(q) \ \text{(H(q) is entropy)} \\ \end{aligned} $$ $$ \begin{aligned} &\text{Equality holds if } q = p(z \mid x; \theta)\\ &\log p(x; \theta) = \sum_{z} q(z) \log p(z, x; \theta) + H(q) \end{aligned} $$