Contents

[CS236] 2. Background

개요

  1. CS236: Deep Generative Models (Stanford)는 스탠포드 대학교에서 진행하는 딥러닝 기반 생성 모델(Deep Generative Models) 에 대한 심화 강의이다.

  1. 이번 포스트에서는 CS236 강의의 2강 내용을 정리한다.

  1. 2강에서는 말그대로 Generative 분야를 공부하기 전에 필요한 배경 지식을 설명하고 있다.
  • 조건부 독립 (conditional independence)
  • generative model vs discriminative model

  1. 생성 모델이란 주어진 데이터(x)의 확률 분포(p(x))를 학습하여 샘플링하여 유사한 데이터를 생성해내는 것이다. ($x ~ p(x)$)
  • 이런 확률 분포 p(x)에 대하여 여러 활용을 할 수 있는데, 아래는 그 활용에 대해서 나타낸다.
    • 밀도 추정: 데이터 유사도 기반 이상 탐지 (원하는 object엔 p(x)가 높다.)
    • Unsupervised representation learning: 공통된 특징 추출

  1. 그럼 이제 이러한 데이터의 확률분포 p(x)를 어떻게 표현을 할 것이냐가 먼저이다.

Representation p(x)

  1. 확률 분포의 표현은 여러가지이다. 베르누이 분포와 범주형(categorical)분포는 위 사진과 같이 표현할 수 있다.

  1. 만약 3개의 discrete random variable인 이미지 데이터라면, $p(R = r, G = g, B = b)$의 joint distribution을 구하기 위하여 $256 * 256 * 256 - 1$의 파라미터가 발생한다.
  • 이때 말하는 파라미터란 무엇인가?
    • 파라미터확률 분포를 정의하기 위해 필요한 개별 확률값을 의미한다.
    • $X_1, X_2 \in {0, 1}$ 의 변수가 있다고 가정할 때 가능한 조합은 4가지 ((0,0), … (1,1))이다.
    • 각 조합에 대해 확률 값을 지정해야 하지만, 전체 확률 합은 1이어야 하므로 4개 중 3개만 자유롭게 정하면 나머지 하나는 자동으로 정해진다.
      • 따라서 이 경우 $4 - 1 = 3$ 개의 파라미터를 가진다.


  1. 만약 n개의 binary(Bernoulli) random variable이라면 가능한 image의 수는 $2 \times 2 \times … \times 2 = 2^n$ (n: pixel 수)일 것이다.

  1. 그럼 이때 이 분포에서 sampling을 한다면 특정 분포의 joint distribution $p(x_1,…,x_n)$은 $2^n - 1$의 파라미터가 필요하다.

  1. 따라서 random variable의 수에 따라 파라미터의 수가 기하급수적으로 증가한다는 사실을 알 수 있다. 이 모든 값들을 컴퓨터에 저장하기엔 무리가 있다.

  1. 그렇기 때문에 수학적 가정이 필요한 순간이다. 그래서 독립성 가정(Independence Assumption)을 하겠다. $X_1, … , X_n$ 베르누이 분포를 만족하는 확률 변수들이 있다고 가정했을 때 $p(x_1, … , x_n) = p(x_1)\dot\dot\dot p(x_n)$ 을 만족한다.

  1. 이 경우, 가능한 상태(이미지)는 동일하게 $2^n$이고 joint distribution파라미터는 $n$이다.
  • Marginal distribution $p(x_1)$의 파라미터가 1이다.
  • 따라서 $1 + 1 + … + 1$이기 때문에 파라미터는 n이 된다.

  1. 독립성 가정은 너무 strong해서 위의 그림 처럼 모든 값이 독립적으로 무작위 값을 선택하여 샘플링 결과가 안좋다.

$$p(S_1 \cap S_2 \cap \cdots \cap S_n) = p(S_1) \cdot p(S_2 \mid S_1) \cdot \cdots \cdot p(S_n \mid S_1 \cap \cdots \cap S_{n-1})$$ $$p(S_1 \mid S_2) = \frac{p(S_1 \cap S_2)}{p(S_2)} = \frac{p(S_2 \mid S_1) \cdot p(S_1)}{p(S_2)} $$


  1. 따라서 다른 가정이 필요하여 두가지 중요한 rule(공식)이 있다. 위는 순서대로 Chain rule (probability)Bayes' rule의 식이다.

$$p(x_1, x_2, \ldots, x_n) = p(x_1) \cdot p(x_2 \mid x_1) \cdot p(x_3 \mid x_1, x_2) \cdots p(x_n \mid x_1, \ldots, x_{n-1})$$


  1. Chain Rule을 사용하면 위의 식이 된다. 이때 파라미터는 $1+2+…+2^\text{n-1} = 2^n - 1$이다.

  1. 여전히 exponential하다는 것을 알 수 있다. 이 chain rule을 사용한 식에 conditional independence를 가정을 한다.

$$p(x_1, x_2, \ldots, x_n) = p(x_1) \cdot p(x_2 \mid x_1) \cdot p(x_3 \mid x_2) \cdots p(x_n \mid x_{n-1})$$


  1. 그렇게 되면 위의 식과 같아지고 파라미터는 $2n - 1$로 해결이 가능해졌다. ($X_{i+1} \perp {X_1, \ldots, X_{i-1}} \mid X_i$ 이렇게도 표기한다.)

Bayes Network

  1. Chain rule을 통해 모든 확률변수의 joint distribution을 표현할 수 있지만, 이때 conditional independence를 활용하면 필요한 파라미터 수를 대폭 줄일 수 있다. 베이지안 네트워크는 이러한 조건부 독립 구조를 그래프 형태로 표현한 모델이다.
  • 베이지안 네트워크는 각 확률 변수마다 노드를 가진다.
  • 노드 간 관계는 부모 자식 구조($\text{Pa}(i)$)로 표현이 된다.
  • 각 노드마다 부모 노드의 값에 조건부 형태로 표현을 할 수 있고 전체 분포는 아래 식과 같다.
  • $p(x_1, x_2, \ldots, x_n) = \prod_{i \in V} p(x_i \mid x_{\text{Pa}(i)})$

  1. Conditional Independence를 기반으로 복잡한 분포를 단순하게 표현을 하여 조합 수가 많은 경우에도, 각 노드의 부모 수만큼만 파라미터가 필요하여 효율적이다.

  1. 위 그림을 보면 그래프를 베이지안 네트워크로 표현을 할 수 있고, 독립성들을 파악하기 쉽다.
  • 최종 정리를 하자면 베이지안 네트워크는 확률 변수들 간의 조건부 독립성을 방향 그래프(DAG)로 표현한 모델이다.

Naive Bayes

$$p(y, x_1, \ldots, x_n) = p(y) \prod_{i=1}^{n} p(x_i \mid y)$$

  1. 이메일이 스팸인지 여부(y) 를 판단할 때, Naive Bayes를 사용하여 분류를 진행한다. 이때 이 방법은 가정이 있게되는데 바로 단어들이 클래스 $Y$가 주어졌을 때 조건부 독립이라고 가정한다. 이 가정을 활용한 식은 위 식과 같다.

  1. 나이브 베이즈 분류기학습 시 각 조건부 확률 $p(X_i | Y)$와 클래스 분포 $p(Y)$를 학습한다. 그리고 추론 시 $p(Y = 1 | X)$를 계산하면 된다. 추론 시 베이즈 정리를 적용 하면 아래 식과 같아지게 된다.
  • 나이브 베이즈 분류기완벽하지 않지만, 유용할 수 있다.
  • 나이브 베이즈 분류기베이지안 네트워크아주 단순화된 형태라고 생각하면 될 것 같다.

$$p(Y = 1 \mid x_1, \ldots, x_n) = \frac{ p(Y = 1) \prod_{i=1}^{n} p(x_i \mid Y = 1) }{ \sum\limits_{y \in {0,1}} p(Y = y) \prod_{i=1}^{n} p(x_i \mid Y = y) }$$


Generative & Discriminative Model

  1. 생성 모델판별 모델을 노드로 관계를 나타낸 것이다. 생성 모델은 x,y사이의 전체 관계($p(x,y) = p(x|y)p(y)$)를나타내고 판별 모델은 주어진 x에 대해 y를 바로 예측($p(y|x)$)을 한다.

  1. 따라서 생성 모델은 모든 조건부 분포를 다 배울 필요가 있지만 판별 모델은 분류만 하므로 x의 분포를 신경을 안써도 된다.


  1. 따라서 이런 생성 모델의 복잡한 관계를 naive Bayes 가정을 활용하여 단순하게 만들 수 있게 된다.
  • 위 그림을 보면 y를 알면 x를 알 수 있게 된다.

  1. 이런 나이브 베이즈를 사용한 모델은 가정으로 인하여 X들간의 상관관계는 무시되기 때문에 $X_1$과 $X_2$가 y와 항상 같이 나온다면 $X_1$과 $X_2$가 실제로 각각 유의미해도 $p(X_1|Y) = p(X_2|Y) $ 으로 처리한다.

  1. 하지만 판별 모델 중 하나인 로지스틱 회귀는 각 특성의 기여도를 조정할 수 있어 이런 중복 문제를 해결할 수 있다.
  • 로지스틱 회귀Linear Regression로지스틱 함수를 적용한 모델이다. 아래는 관련 식이다.
  • $z(\alpha, x) = \alpha_0 + \sum_{i=1}^{n} \alpha_i x_i$ 의 선형 결합으로 나타낼 수 있다.
  • $p(Y = 1 \mid x; \alpha) = \sigma(z(\alpha, x)) = \frac{1}{1 + e^{-z(\alpha, x)}}$ 으로 확률로 변경할 수 있다.
  • 이 같은 식을 통하여 decision boundary를 정할 수 있게 된다.

  1. 이런 생성 모델도 장점이 있는데 바로 X의 일부 값이 관측되지 않았을 때도 추론이 가능하다는 점이다.

Neural Models

$$h(A, b, x) = f(Ax + b)$$ $$p_{\text{Neural}}(Y = 1 \mid x; \alpha, A, b) = \sigma\left( \alpha_0 + \sum_{i=1}^{h} \alpha_i h_i \right)$$ 28. 기존 로지스틱 회귀선형 관계라 구조가 단순하다. 따라서 비선형 모델링(Neural Network)이 필요해졌다. 따라서 위의 식과 같이 표현이 가능하고 기존보다 더 다양한 파라미터가 생긴 것을 확인 할 수 있다.


  1. 따라서 지금까지의 모델들을 정리를 해보면 아래와 같다.
  • Chain Rule 공식
    • $p(x_1, x_2, x_3, x_4) = p(x_1) \cdot p(x_2 \mid x_1) \cdot p(x_3 \mid x_1, x_2) \cdot p(x_4 \mid x_1, x_2, x_3)$
  • Bayesian Network (assumes conditional independency)
    • $p(x_1, x_2, x_3, x_4) \approx p(x_1) \cdot p(x_2 \mid x_1) \cdot p(x_3 \mid \cancel{x_1}, x_2) \cdot p(x_4 \mid \cancel{x_1}, \cancel{x_2}, x_3)$
  • Neural Models
    • $p(x_1, x_2, x_3, x_4) \approx p(x_1) \cdot p(x_2 \mid x_1) \cdot p_{\text{Neural}}(x_3 \mid x_1, x_2) \cdot p_{\text{Neural}}(x_4 \mid x_1, x_2, x_3)$

Continuous Variable

  1. $X$가 연속확률변수일 때는 지금까지 배운 방법을 어떻게 적용시키는 지에 대하여 나온다.

  1. 바로 Probability Density Function (PDF)를 사용하여 모델링을 하고 Chain rule, Bayes rule에 똑같이 조건부 확률 형태를 적용하면 된다.
  • 이때 모델링 시 사용되는 분포가 있다.
    • 정규 분포, 다변량 정규 분포 등이 있다.
  • 정규분포와 같은 분포에서는 각 점에서의 확률이 아니라 확률 밀도 $p(x)$가 주어지고, 우리가 원하는 실제 확률이 밀도 값을 구간에 대해 적분해서 얻는다.

  1. 그럼 이런 연속확률변수를 사용하여 어떻게 Bayesian network를 활용한 모델이 구성될 수 있는지에 대한 예제를 설명할 것이다.

  1. 이제 설명하는 모델들은 $Z$-> $X$ 의 관계를 $p(Z, X) = p(Z) \cdot p(X \mid Z)$ 으로 **분해(factorization)**가 가능한 Bayesian network라고 생각하면 된다.
  • 아래 세개의 모델들은 다음과 같은 순서로 진행되고 그 순서에서 안에 구성만이 다른 것이다.
    1. z가 어떤 분포에서 샘플링이 된다.
    2. 그 z의 값으로 정규분포가 정해진다. 그리고 그 정규분포에서 X를 샘플링을 한다.

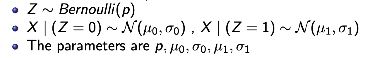
  1. 첫번째 모델Mixture of 2 Gaussian이다. 베르누이 분포에서 뽑은(2가지 경우) z에 해당하는 분포에서 X를 샘플링을 한다.
  • z는 어떤 분포($\mu_0, \mu_1)$에서 샘플링(X)을 할 지 알려준다.

  1. 두번째 모델uniform 분포에서 뽑아서 뽑은 z를 중심으로 아주 약간 움직인 분포로 구성할 수 있다.

  1. 세번째 모델은 정규분포의 평균과 분산이 신경망으로부터 결정이 된 분포에서 샘플링이 된다.
  • 신경망 기반 조건부 확률 분포이다.

  1. 결론적으로 베이지안 네트워크는 다양한 생성 모델(Gaussian mixture, VAE 등)을 구조적으로 설명하고 일반화 할 수 있다.

Reference